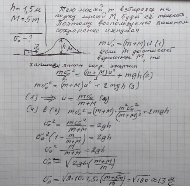
Небольшое тело массой т, скользящее по горизонтальной плоскости,
наезжает на незакреплённую неподвижную горку высотой h = 1, 5 ми
массой М = 5m При какой минимальной скорости Уо тело сможет
преодолеть горку? Трением в системе пренебречь. Ускорение свободного
падения g =
10 м/с2. Ответ вырази в м/с и округли до целого значения.
oh
zybkov1950:
15 ми: что это? А оh? А масса т?
Ответы
Ответ дал:
0
Ответ: 13 м/с
Объяснение: См. приложение
Приложения:

Вас заинтересует
2 года назад
2 года назад
2 года назад
2 года назад
8 лет назад
9 лет назад