Ответы
Ответ дал:
1
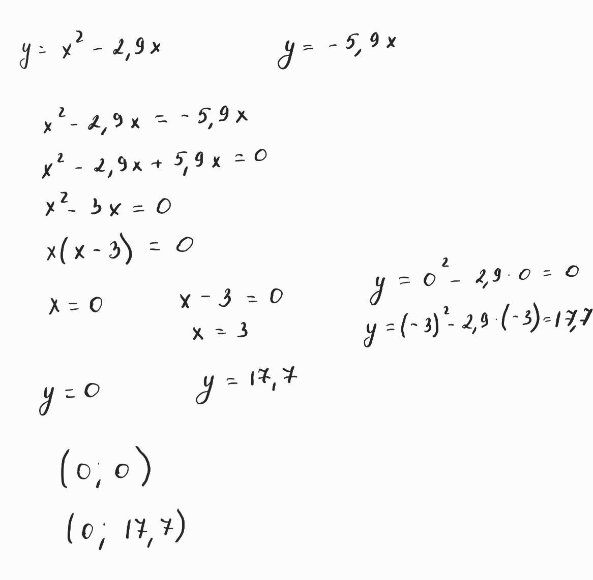
Для того, чтобы найти точки пересечения надо приравнять уравнения
Решение представлено на фото
Приложения:

Вас заинтересует
2 года назад
2 года назад
2 года назад
8 лет назад
8 лет назад
9 лет назад