Ответы
Ответ дал:
0
Если понравилось решение - нажимай "спасибо" и "лучший" (рядом с кнопкой "спасибо") :)
Приложения:

Ответ дал:
0
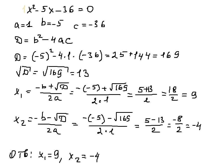
х^2-5х-36=0
Д=(-5)^2-4*1*(-36)=*корень квадратный*169=13
х1=(-5+13):2=4
х2=(-5-13):2=-9
Д=(-5)^2-4*1*(-36)=*корень квадратный*169=13
х1=(-5+13):2=4
х2=(-5-13):2=-9
Приложения:

Вас заинтересует
2 года назад
2 года назад
8 лет назад
8 лет назад
10 лет назад