• Предмет: Алгебра
  • Автор: djdjrhhthttjtj
  • Вопрос задан 7 лет назад

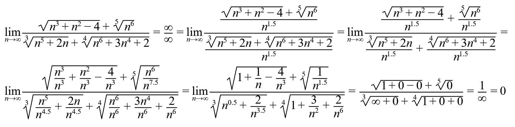
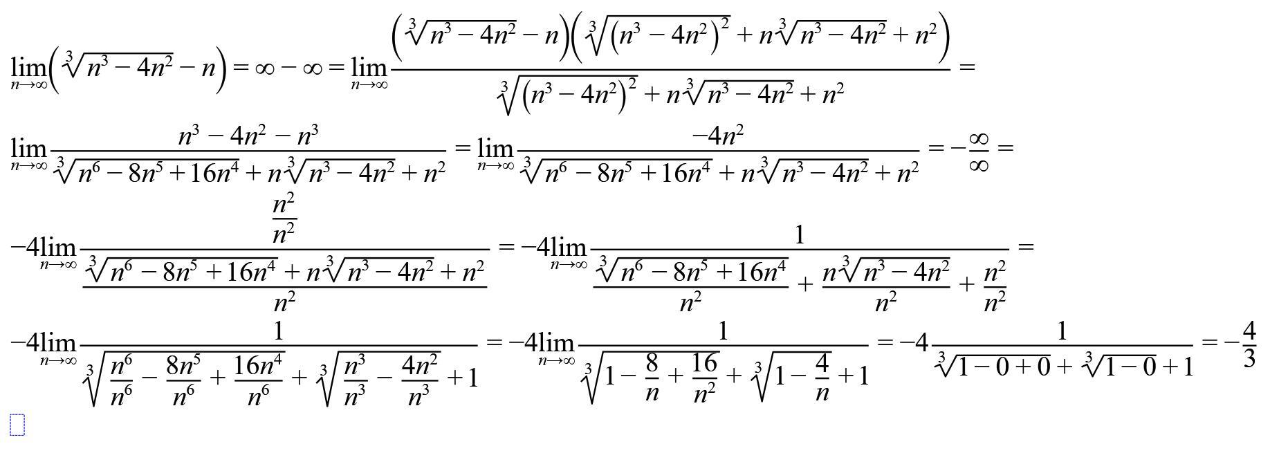
нужно найти предел функции​. задание на фото

Приложения:

Ответы

Ответ дал: palilov243659
1

Ответ:

Объяснение:

///////////////////////////////

Приложения:

djdjrhhthttjtj: спасибо
Вас заинтересует