• Предмет: Математика
  • Автор: Artem3999
  • Вопрос задан 7 лет назад

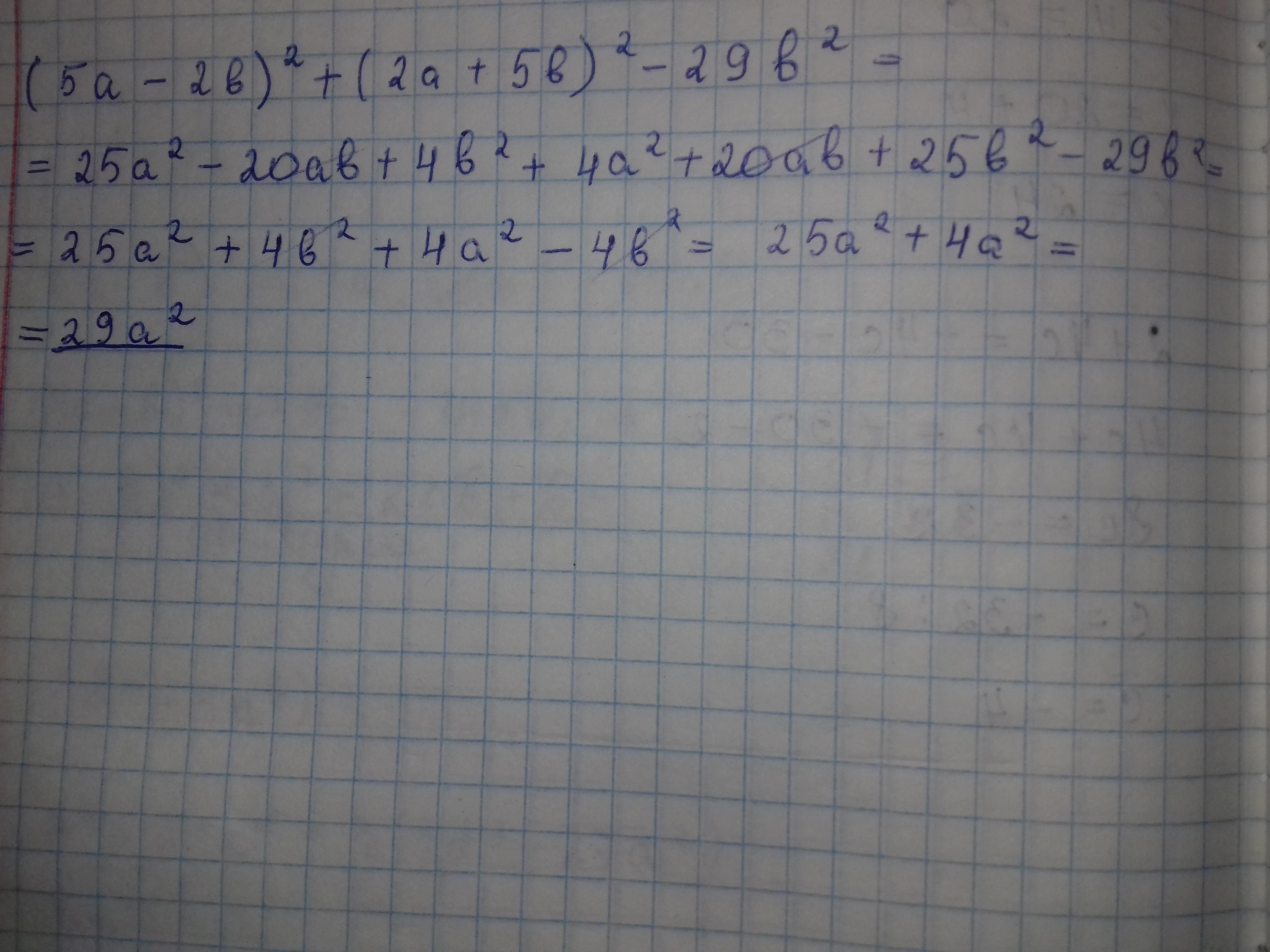
Спростіть вираз (5а – 2b)2 + (2а + 5b)2 – 29b2 Виберіть одну відповідь: -58а2 10а + 29а2 29а2 29b2 + 25a2

Ответы

Ответ дал: sadykovanatalya2004
5

Ответ:

Смотрите фото ниже.

Пошаговое объяснение:

Приложения:
Ответ дал: sgladchuk1
1

Ответ:

в)

Пошаговое объяснение:

29а²

Вас заинтересует