Ответы
Ответ дал:
0
Ответ:
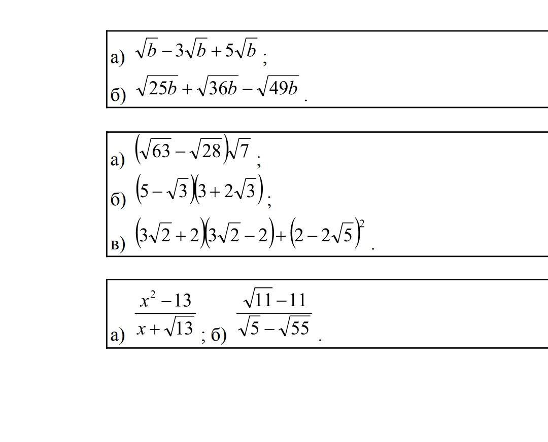
На фото ↓
Объяснение:
Снизу...
Приложения:

Вас заинтересует
2 года назад
2 года назад
2 года назад
8 лет назад