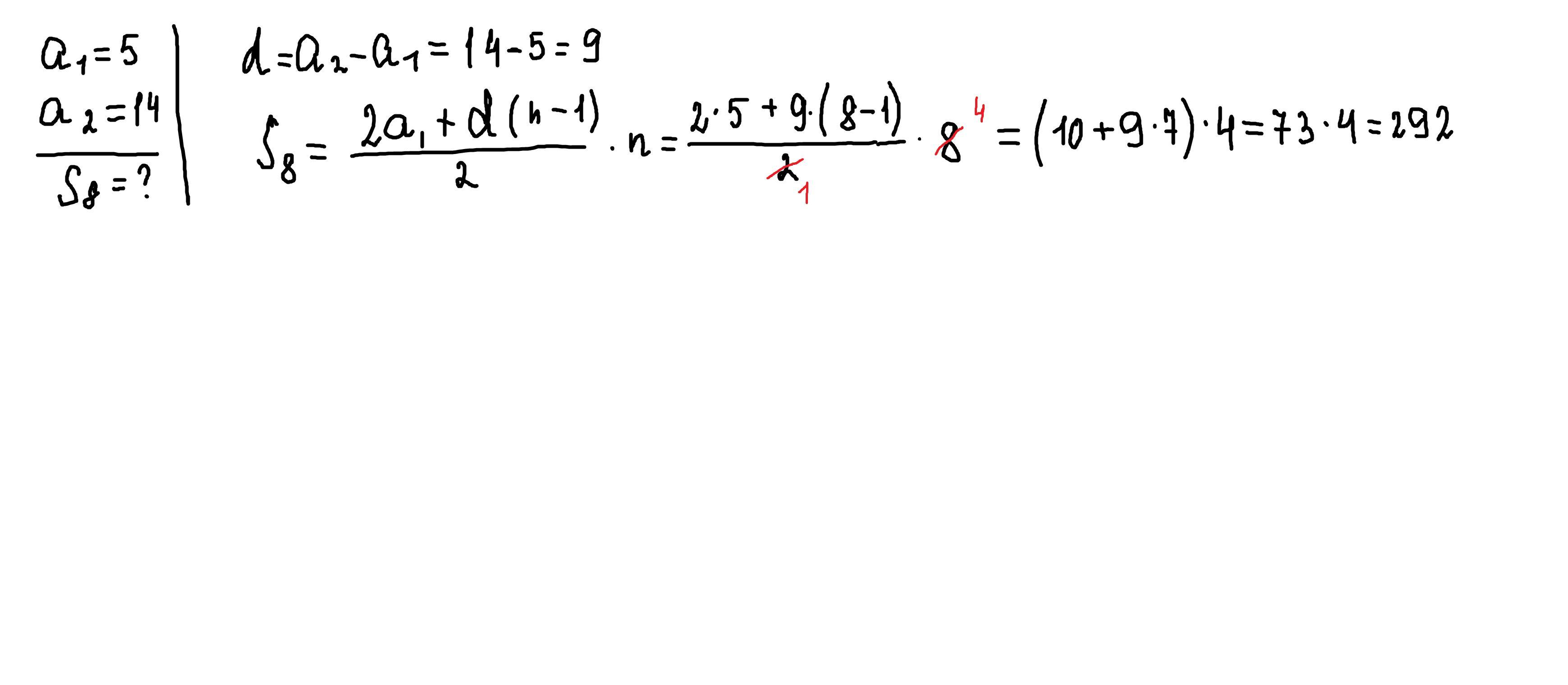
Вычисли сумму первых восьми членов арифметической прогрессии аN если даны первый член и 5; 14..
S₈=
Ответы
Ответ дал:
1
Ответ:
292
Объяснение:
сначала надо найти разницу, которая равна по формуле а2-а1, отсюда d=14-5=9
далее по формуле Sn=(2a1+d(n-1)\2)*n, получаем
S8= (2*5+9(8-1)\2)*8= 292
Ответ дал:
1
Ответ:
S₈=292
Объяснение:
решение внизу
Приложения:

Вас заинтересует
2 года назад
2 года назад
2 года назад
8 лет назад