• Предмет: Математика
  • Автор: configshared1
  • Вопрос задан 7 лет назад

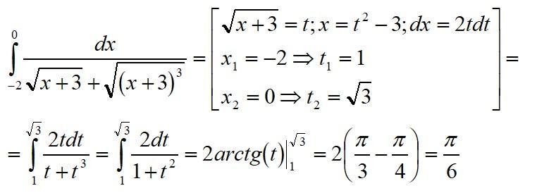
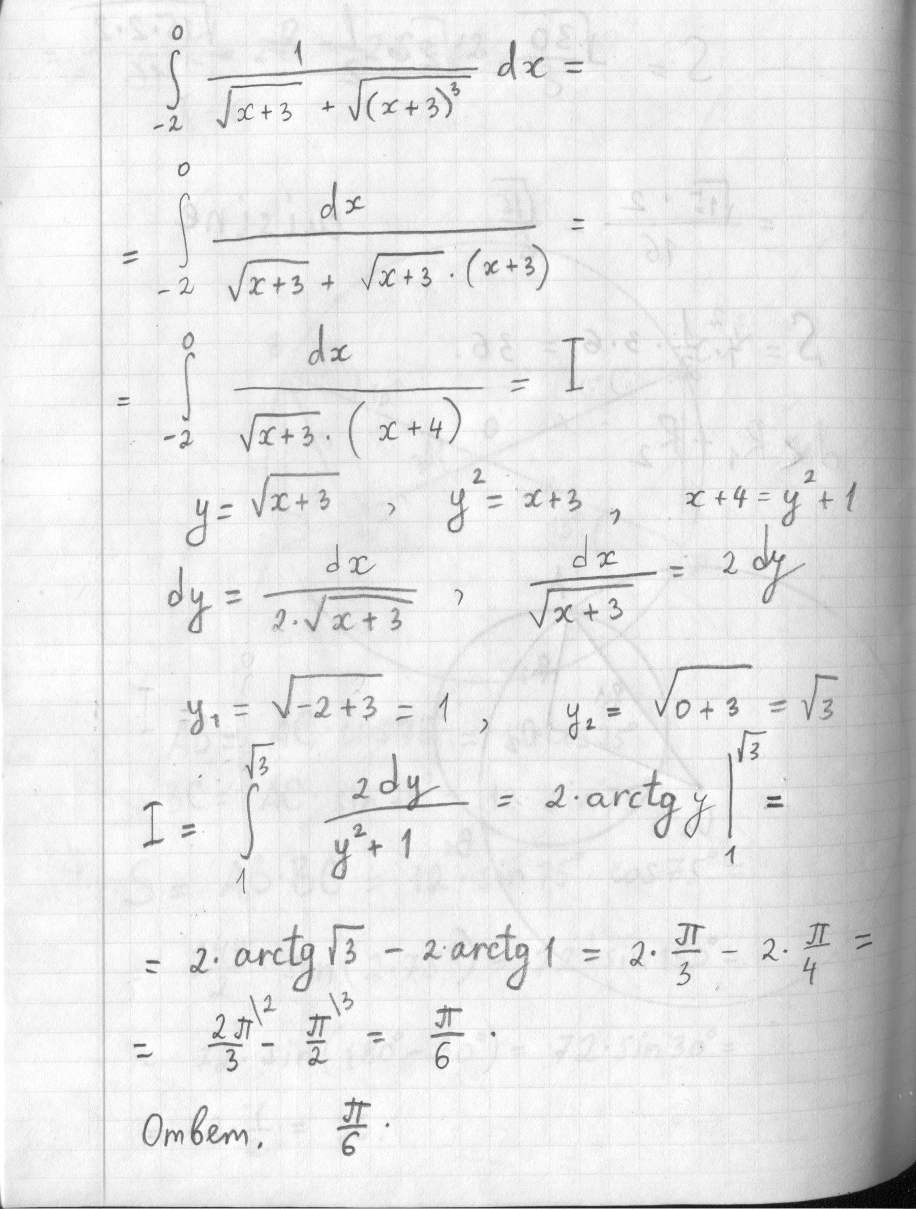
Найти интеграл
\int\limits^a_b {\frac{1}{\sqrt{x+3} + \sqrt{(x+3)^3} } } \, dx \\a = 0\\b = -2

Ответы

Ответ дал: Viis5
1

я написал решение на листочке ===>>

Приложения:
Ответ дал: IUV
1

Ответ:

во вложении

Пошаговое объяснение:

Приложения:
Вас заинтересует