• Предмет: Алгебра
  • Автор: shakhova186
  • Вопрос задан 7 лет назад

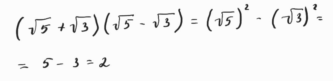
упрости выражение 《задание на картинке》

Введите квадрат значение выражения.

Приложения:

Ответы

Ответ дал: Ляляляля109
1

Общий знаменатель добейся равен 2, так как при приведении в знаменателе получим разность квадратов

Решение показано нм фото

Ответ: 2

Приложения:
Вас заинтересует