• Предмет: Геометрия
  • Автор: Romanovna14
  • Вопрос задан 7 лет назад

помогите пожалуйста с геометрией

Приложения:

Ответы

Ответ дал: bertramjeratire
1

Ответ:

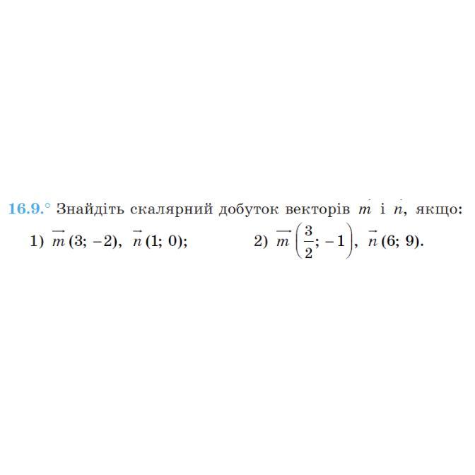
1)

 \overrightarrow{m} \times \overrightarrow{n} = 3 \times 1 + ( - 2) \times 0 = 3 + 0 = 3

2)

\overrightarrow{m} \times \overrightarrow{n} =  \frac{3}{2}  \times 6 + ( - 1) \times 9 = 9 - 9 = 0

Вас заинтересует