Ответы
Ответ дал:
1
Ответ:
так у тебя же разложено и так, всё правильно
Ответ дал:
1
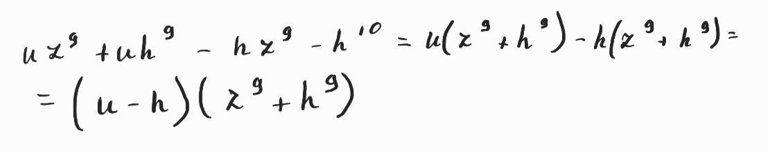
решение представлено на фото
У тебя все правильно
Приложения:

Вас заинтересует
2 года назад
2 года назад
2 года назад
2 года назад
8 лет назад
9 лет назад