• Предмет: Алгебра
  • Автор: 061polina
  • Вопрос задан 7 лет назад

необходим подробный ответ

Приложения:

Ответы

Ответ дал: dobra888
1

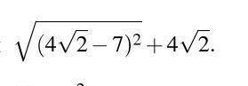
Ответ:    7 .

Объяснение:

√ [ ( 4√2 - 7 )² ] + 4√2 = │4√2 - 7│+ 4√2 = - ( 4√2 - 7 ) + 4√2 = - 4√2 +

               + 7 + 4√2 = 7 .

Вас заинтересует