Ответы
Ответ дал:
0
Ответ:
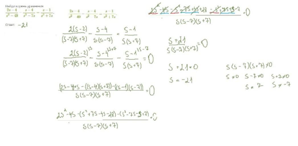
ответ на фото, надеюсь помогла
Приложения:

Ответ дал:
0
Ответ:
-9 правильный ответ
Объяснение:
посмотри и отметь мой ответ лучшим
Вас заинтересует
2 года назад
2 года назад
8 лет назад
9 лет назад