• Предмет: Алгебра
  • Автор: yablonskavladyslava
  • Вопрос задан 7 лет назад

x3-yx-x2+yx2 разложите многочлен на множники

Ответы

Ответ дал: bekkali1509
0

Ответ:

=-ух9-ху+2х-2у......

Ответ дал: norabith2
0

Ответ:

Ответ

3,1/5

6

foxford21

середнячок

2 ответов

137 пользователей, получивших помощь

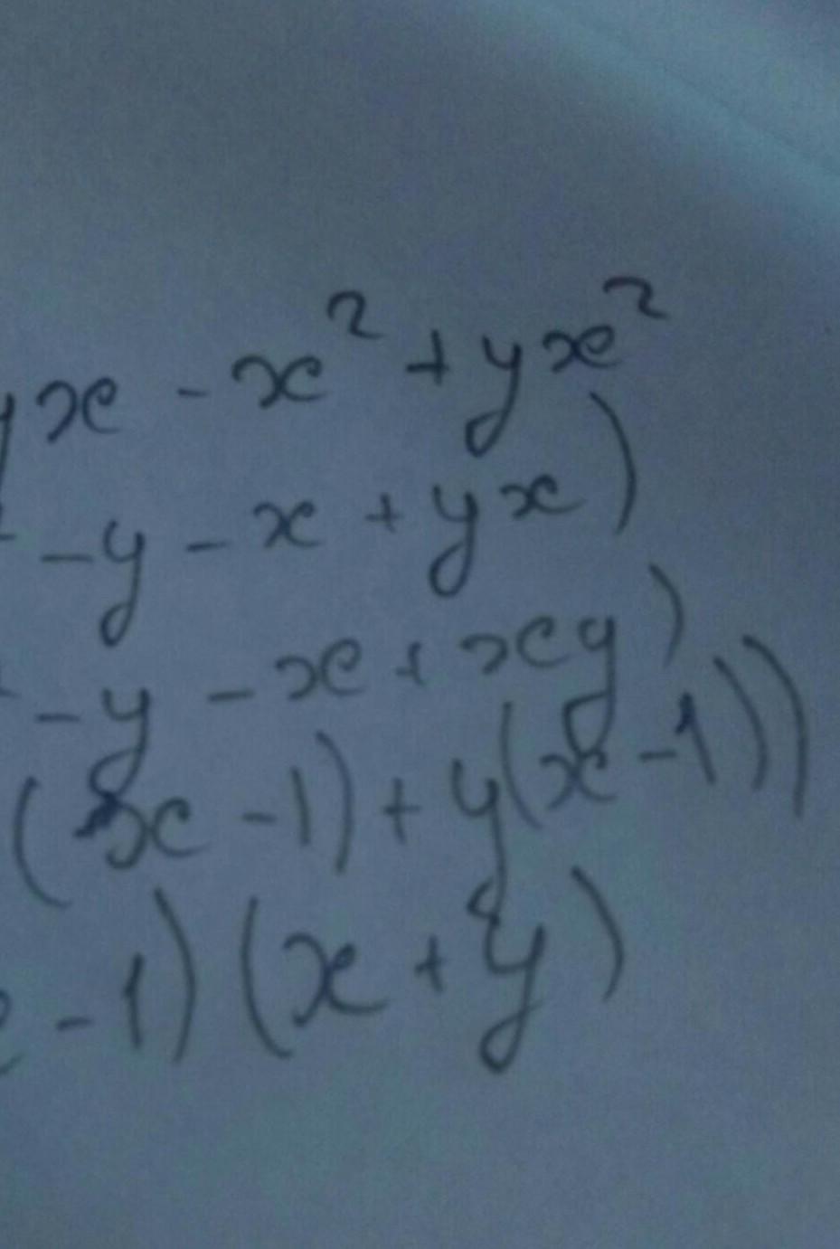
Ответ:

x3 - yx - x2 + yx2

x ( x2 - y - x + xy)

x (x2 - y - x + xy)

x ( x(x-1) + y(x-1))

x (x-1) (x+y)

Объяснение

Ответ :x (x-1) (x+y)

Приложения:
Вас заинтересует