• Предмет: Алгебра
  • Автор: Hielary
  • Вопрос задан 7 лет назад

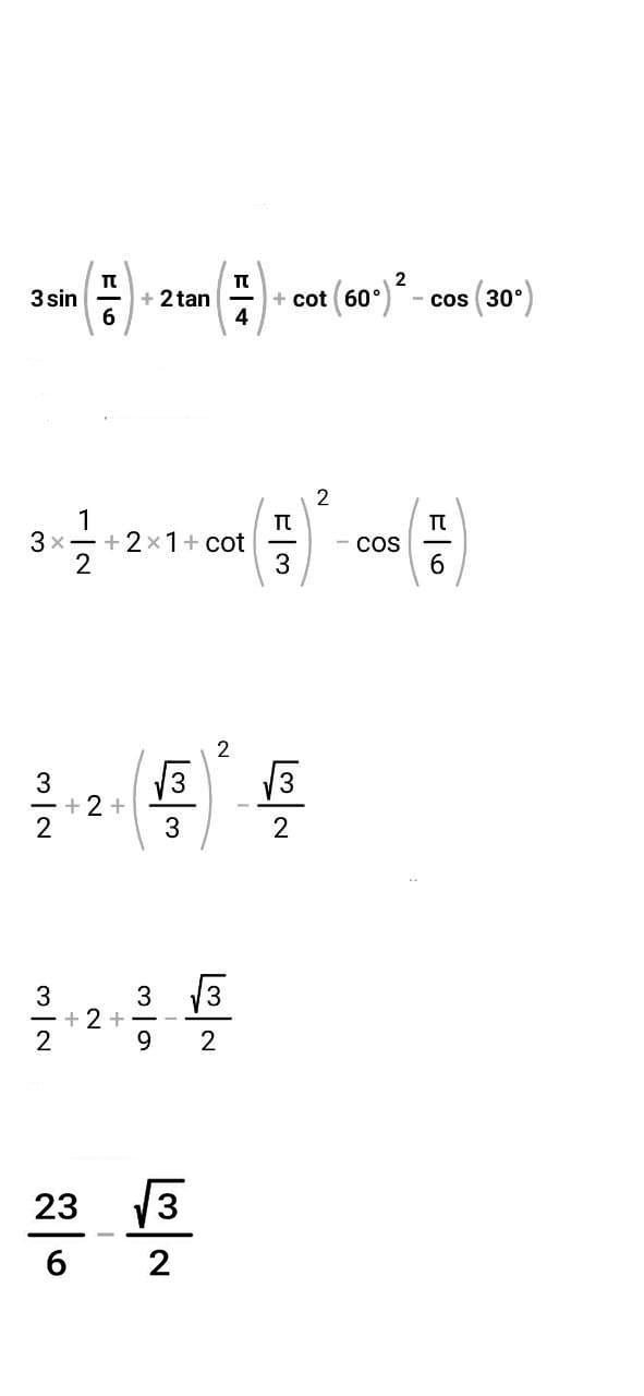
найдите значение выражения: 3sin п/6 + 2tg^2 п/4 + ctg^2 60* - cos30*

Приложения:

Ответы

Ответ дал: HiSlaveHowAreYou
4

Скинул всё на фотке ниже

Приложения:
Вас заинтересует