• Предмет: Алгебра
  • Автор: swaisamkait
  • Вопрос задан 7 лет назад

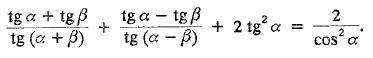
Докажите тождество.....

Приложения:

Ответы

Ответ дал: lidiasaraa3
1

Ответ:

Объяснение:..............

Приложения:
Вас заинтересует