• Предмет: Алгебра
  • Автор: tomaakulova
  • Вопрос задан 11 лет назад

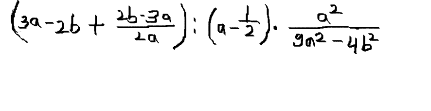
Упростите выражение: (указано на картинке)

Приложения:

Ответы

Ответ дал: inblu
0
 frac{2a(3a-2b)-(3a-2b)}{2a}: frac{2a-1}{2}* frac{a^{2}}{(3a-2b)(3a+2b)}= \ = frac{(2a-1)(3a-2b)}{2a}* frac{2}{2a-1}* frac{a^{2}}{(3a-2b)(3a+2b)}=frac{(3a-2b)}{a}* frac{a^{2}}{(3a-2b)(3a+2b)}= \ =frac{a}{3a+2b}
Вас заинтересует