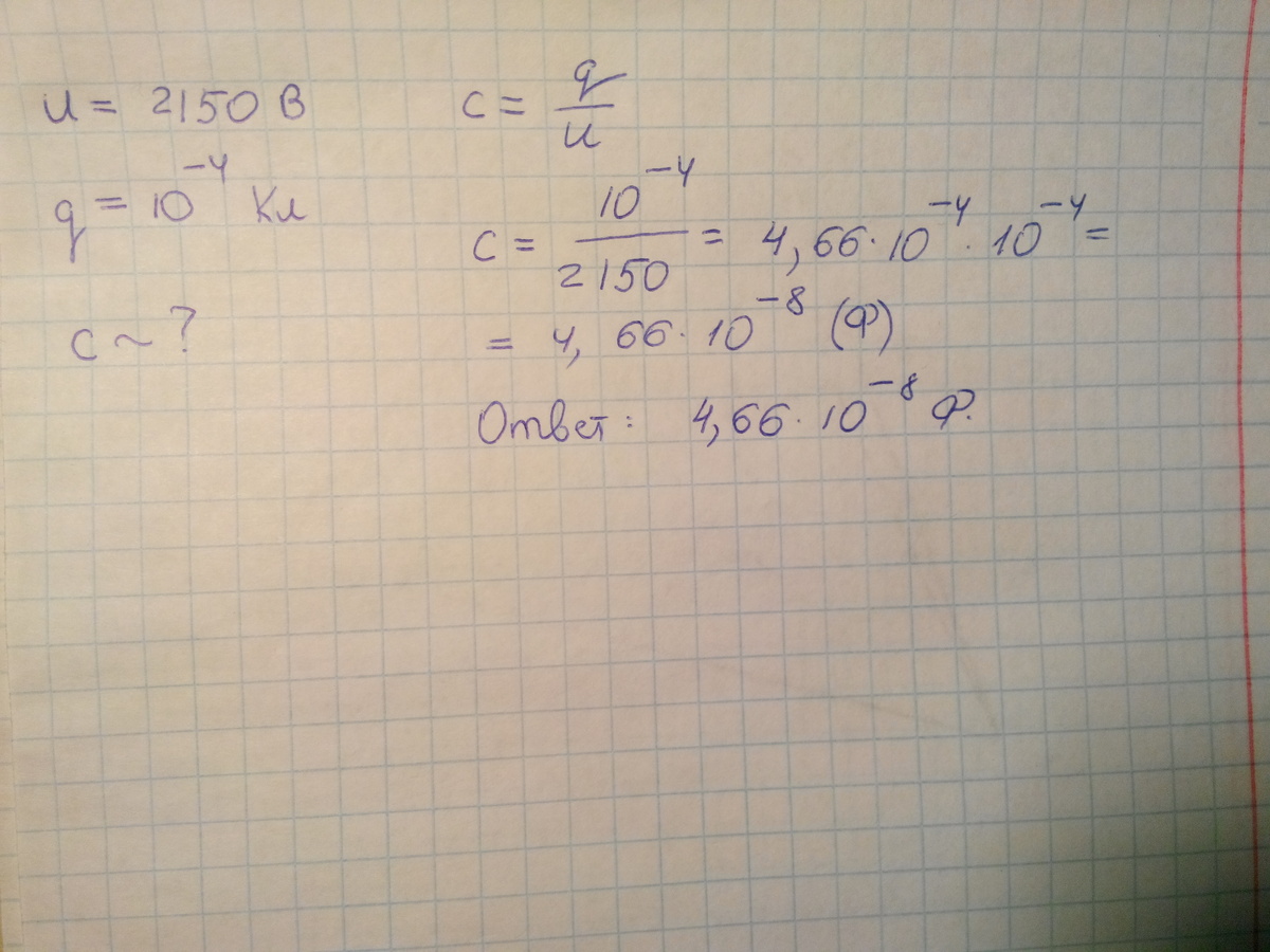
Определить емкость конденсатора если он был заряжен до напряжения 2150 В при этом заряд конденсатора 10∧(-4)Кл
Ответы
Ответ дал:
0
Будут вопросы - пиши.
Приложения:

Ответ дал:
0
Извини, а откуда 4,66 взялось?
Ответ дал:
0
а, все)
Ответ дал:
0
извини, но я ошибся там не 2150, а 250 В
Вас заинтересует
2 года назад
2 года назад
8 лет назад
8 лет назад