• Предмет: Геометрия
  • Автор: egorkailin2016666
  • Вопрос задан 7 лет назад

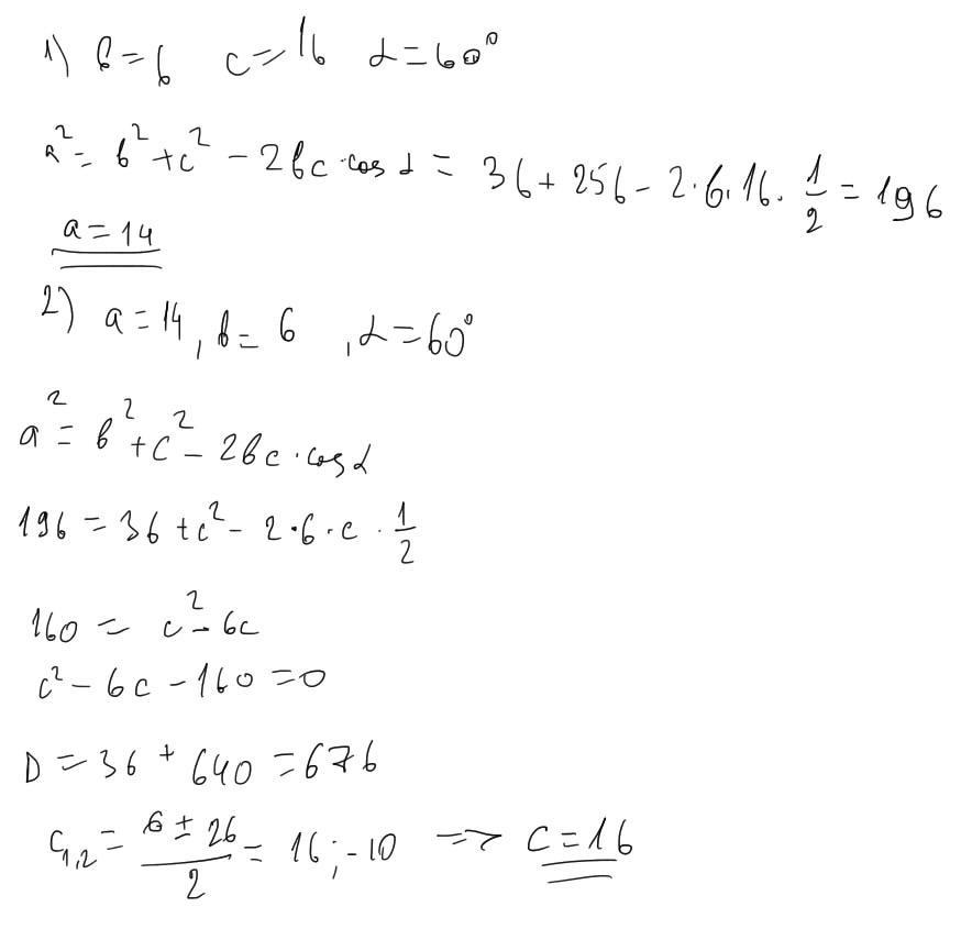
Задача 1. (Решить задачу, применив теорему косинусов)

В треугольнике, изображенном на рисунке b=6,c=16,α=60˚, найти сторону a.

2. В треугольнике, изображенном на рисунке a=14,b=6,α=60˚, найти сторону c.
помогите пожалуйста

Приложения:

Ответы

Ответ дал: Warlock1
0

Ответ:

так

Объяснение:

Приложения:
Вас заинтересует