• Предмет: Алгебра
  • Автор: tomaakulova
  • Вопрос задан 10 лет назад

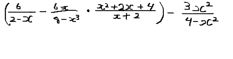
Докажите , что при любых допустимых значениях переменной x значение выражения не зависит от x : (выражение на картинке)

Приложения:

Ответы

Ответ дал: Mydrый
0
решениееееееееееееееееееееееееееее
Приложения:
Ответ дал: tomaakulova
0
Сударь,да вы реально мудрый
Вас заинтересует