• Предмет: Алгебра
  • Автор: illyaprokopenko2005
  • Вопрос задан 7 лет назад

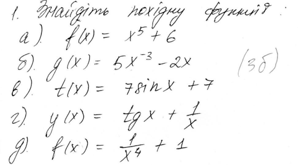
Знайти похідну функції a) f(x)=x⁵+6
b) y(x)=5x-³-2x
в) f(x)=7sinx+7
г) y(x)=tgx+1/x
д) f(x)=1/x⁴+1​

Приложения:

Ответы

Ответ дал: Аноним
3

a) y'(x)=(x⁵+6)'=5x⁴

b) y'(x)=(5x⁻³-2x)'=(5x⁻³-2x)'=-15x⁻⁴-2=-(15/x⁴)-2;

в) f'(x)=(7sinx+7)'=7cosx

г) y'(x)=(tgx+(1/x)')=(1/cos²x)-1/x²

д) f'(x)=((1/x⁴)+1​)'=-4/x⁵

(xⁿ)'=n*xⁿ⁻¹

(const)'=0

(tgx)'=1/cos²x

sin'x=cosx

Вас заинтересует