Ответы
Ответ дал:
0
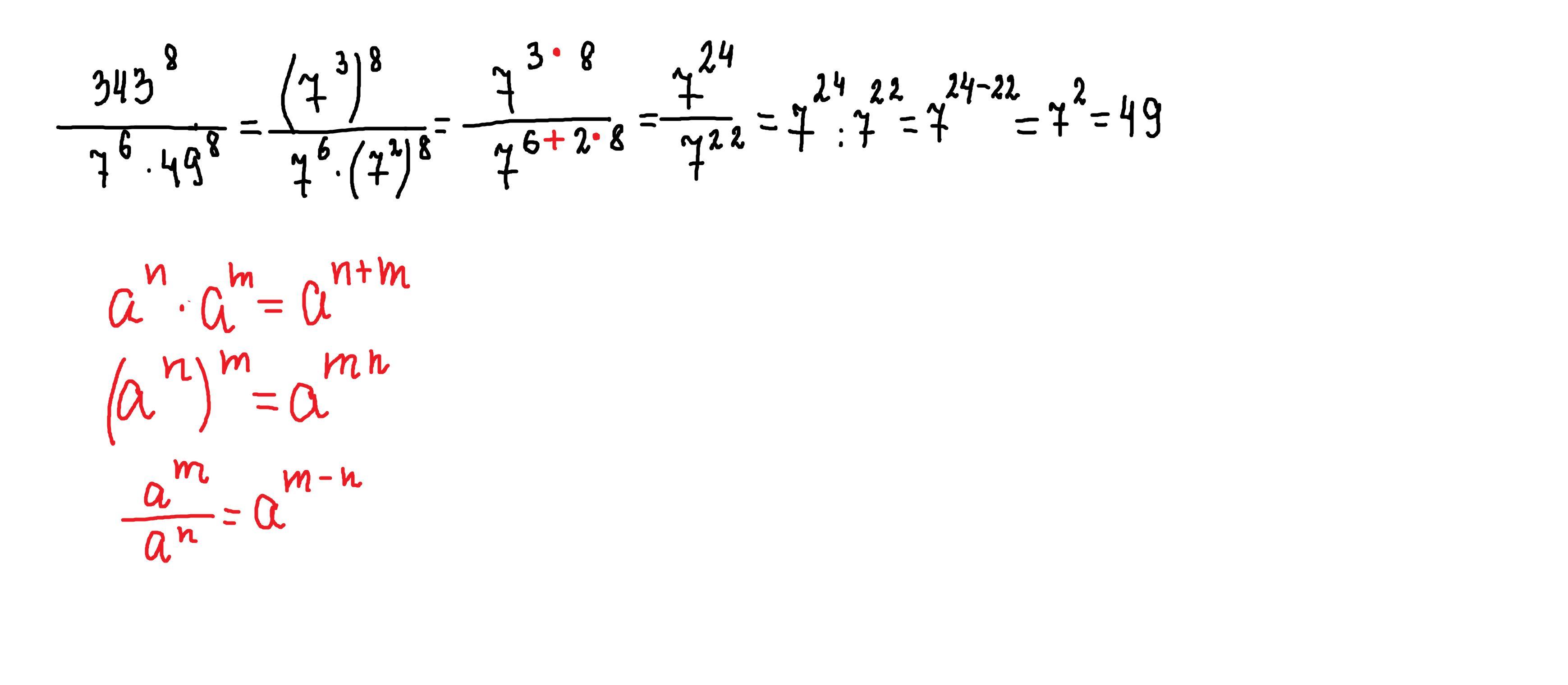
Ответ:
49
Объяснение:
решение внизу
Приложения:

Вас заинтересует
2 года назад
2 года назад
2 года назад
8 лет назад
9 лет назад