Ответы
Ответ дал:
1
смотрите фото..............
Приложения:

Ответ дал:
1
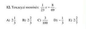
Ответ:
1/23x = 8/69
x = 8/69 : 1/23
x = 8/69 * 23/1
x = 8/3
x = 2 2/3
Пошаговое объяснение:
Вас заинтересует
2 года назад
2 года назад
2 года назад
2 года назад
8 лет назад
8 лет назад
9 лет назад