• Предмет: Алгебра
  • Автор: hamer007
  • Вопрос задан 11 лет назад

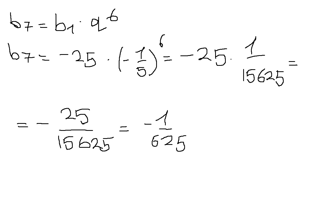
Найдите седьмой член геометрической прогрессии, если B1 = - 25, и q = - 1/5

Ответы

Ответ дал: Rysla
0

b7=b1*q^6 = -25*(-1/5)^6=-25*1/15625=-25/15625=-1/625

Ответ дал: ShutUp
0

вроде все верно должно быть

Приложения:
Вас заинтересует