• Предмет: Математика
  • Автор: davletmurzayevadi
  • Вопрос задан 7 лет назад

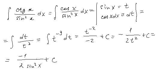
Найти неопределённый интеграл
(ctg x/ sin^2x)*dx

Ответы

Ответ дал: dashulka22222
1

Ответ:

Пошаговое объяснение:

Приложения:
Вас заинтересует