• Предмет: Математика
  • Автор: Demanaize
  • Вопрос задан 7 лет назад

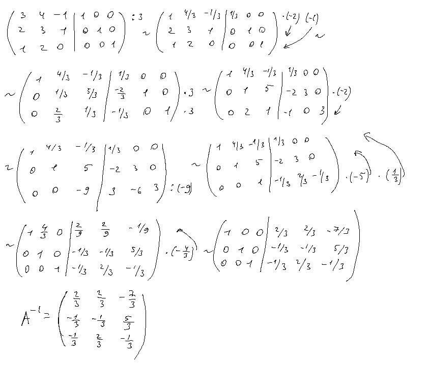
Найти обратную матрицу: (с подробным решением)

Заранее спасибо!

Приложения:

Ответы

Ответ дал: dashulka22222
2

Ответ:

Пошаговое объяснение:

Приложения:

Demanaize: ещё раз спасибо, очень выручили!
dashulka22222: пожалуйста
Вас заинтересует