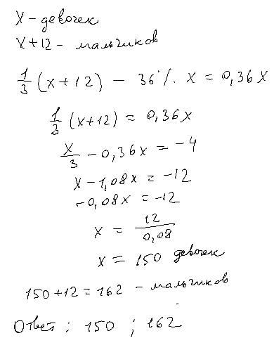
мальчиков в школе учится на 12 человек больше, чем девочек, а треть мальчиков равна 36% девочек. запишите число учащихся в школе девочек и мальчиков в указанном порядке
Ответы
Ответ дал:
0
Ответ:
Пошаговое объяснение:
Приложения:

Вас заинтересует
2 года назад
2 года назад
2 года назад
2 года назад
8 лет назад
8 лет назад