• Предмет: Математика
  • Автор: 06avrora
  • Вопрос задан 7 лет назад

Очень нужна помощь, помоги пожалуйста
решение расписать ​

Приложения:

Ответы

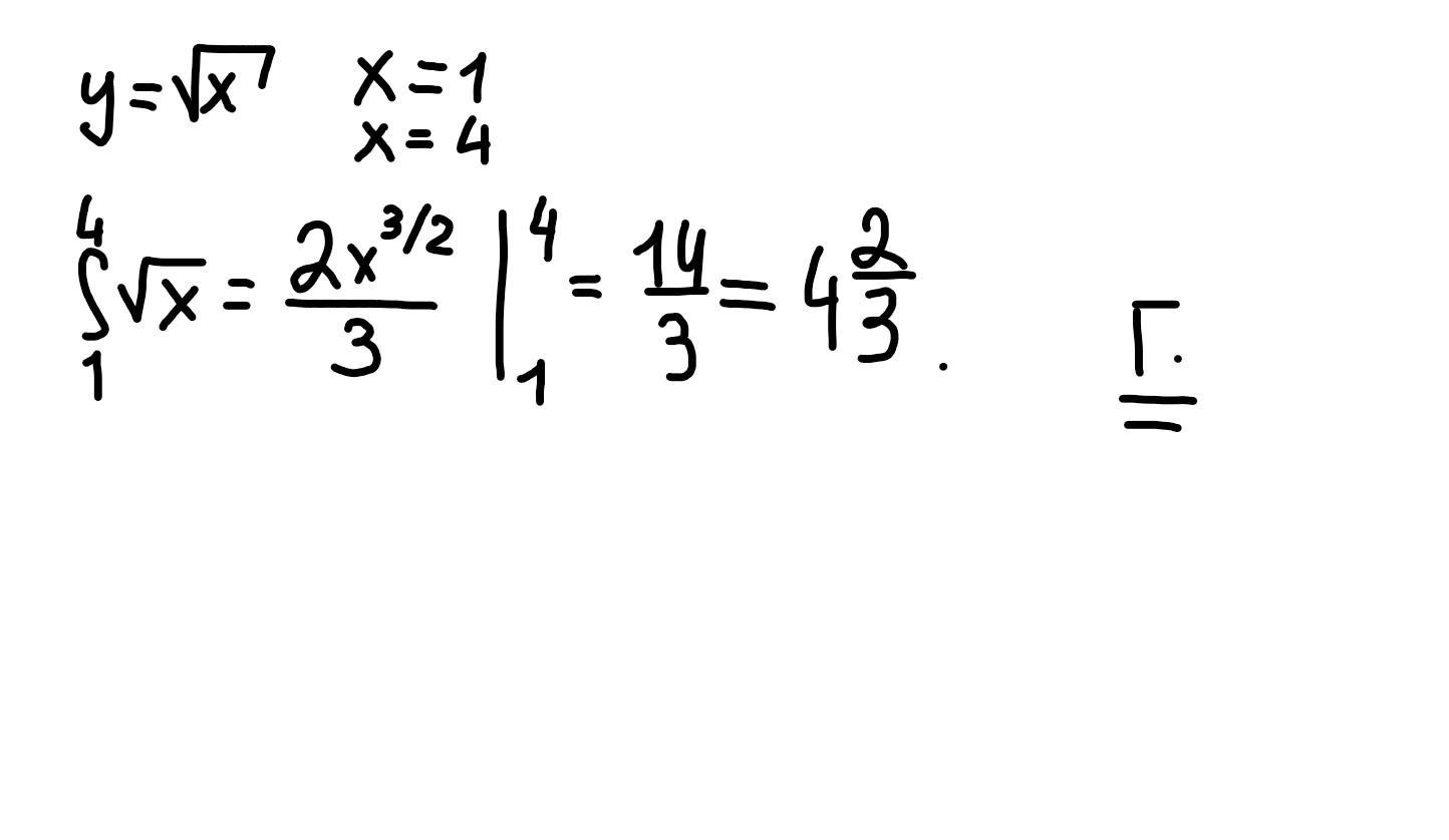
Ответ дал: yevheniiavz
1

см.фото..............................................

Приложения:
Вас заинтересует