• Предмет: Химия
  • Автор: Совершенный22
  • Вопрос задан 11 лет назад

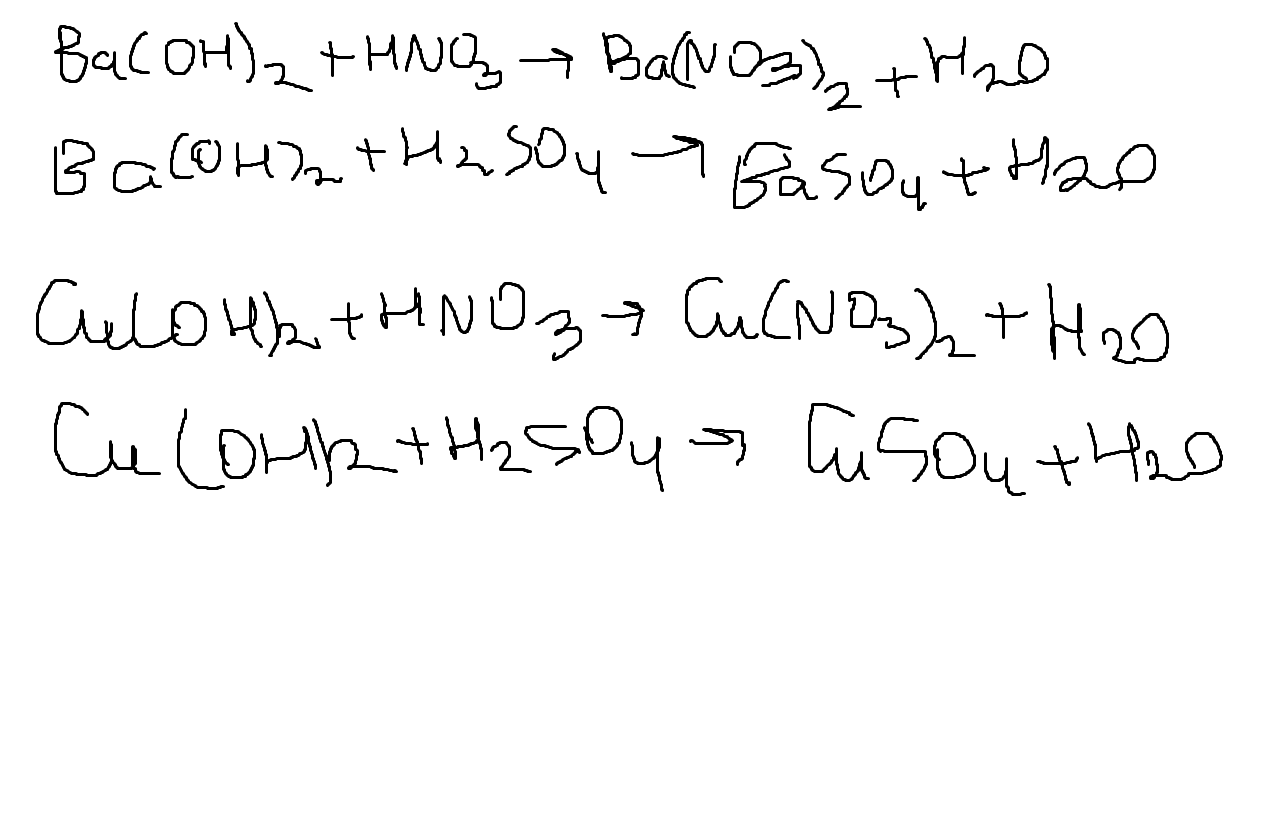
Составьте уравнения реакций: 1) Гидроксид бария с азотной и серной кислотами. 2) Гидроксид меди(2 вал) с азотной и серной кислоой.

Ответы

Ответ дал: ShutUp
0

я незнаю может правильно а может нет может быть кто-нибудь еще решение выставит

Приложения:
Ответ дал: Heartquake
0

1) Ba(OH)2 + 2HNO3 = Ba(NO3)2 + 2H2O

    Ba(OH)2 + H2SO4 = BaSO4 + 2H2O

 

2) Cu(OH)2 + 2HNO3 = Cu(NO3)2 + 2H2O

    Cu(OH)2 + H2SO4 = CuSO4 + 2H2O

Приложения:
Вас заинтересует