• Предмет: Алгебра
  • Автор: Аноним
  • Вопрос задан 7 лет назад

Помогите, дам 20 баллов за ответ

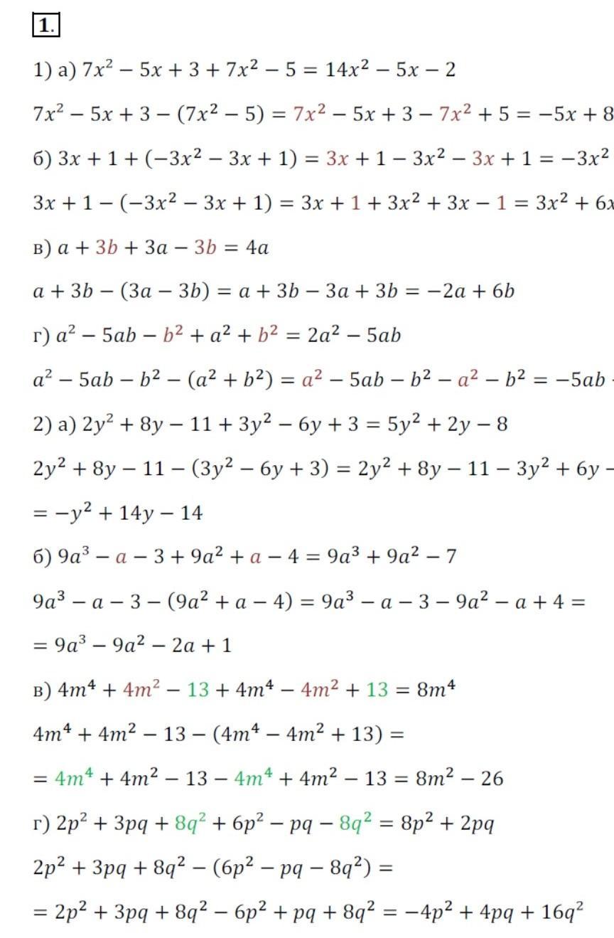
Приложения:

Ответы

Ответ дал: alixqs
0

Ответ:

жос

Объяснение:

сэхлсзосжосжосжосзгч сор пха

Приложения:
Вас заинтересует