На ребре CC1 прямоугольного параллелепипеда ABCDA1B1C1D1 взята точка R так, что C1R = 3 ∙ RC.
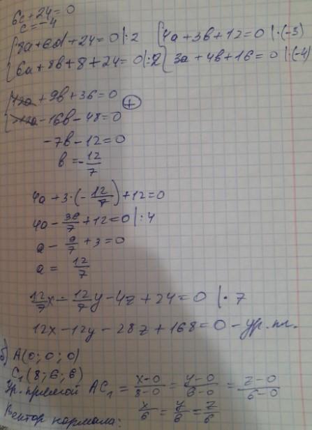
а) Введите систему координат и составьте уравнение плоскости α, проходящей через точки R, B и D1, если CD = CC1 = 6 см, AD = 8 см.
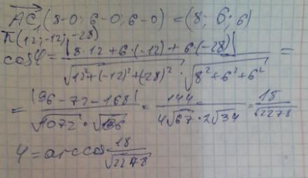
б) Найдите угол между диагональю AC1 и плоскостью α.
Ответы
Ответ дал:
5
Ответ:
На фото
Объяснение:
Приложения:



Вас заинтересует
2 года назад
2 года назад
2 года назад
8 лет назад
9 лет назад
9 лет назад