• Предмет: Алгебра
  • Автор: lastof
  • Вопрос задан 7 лет назад

Помогите с сором пожалуйста
дам 50б​

Приложения:

Ответы

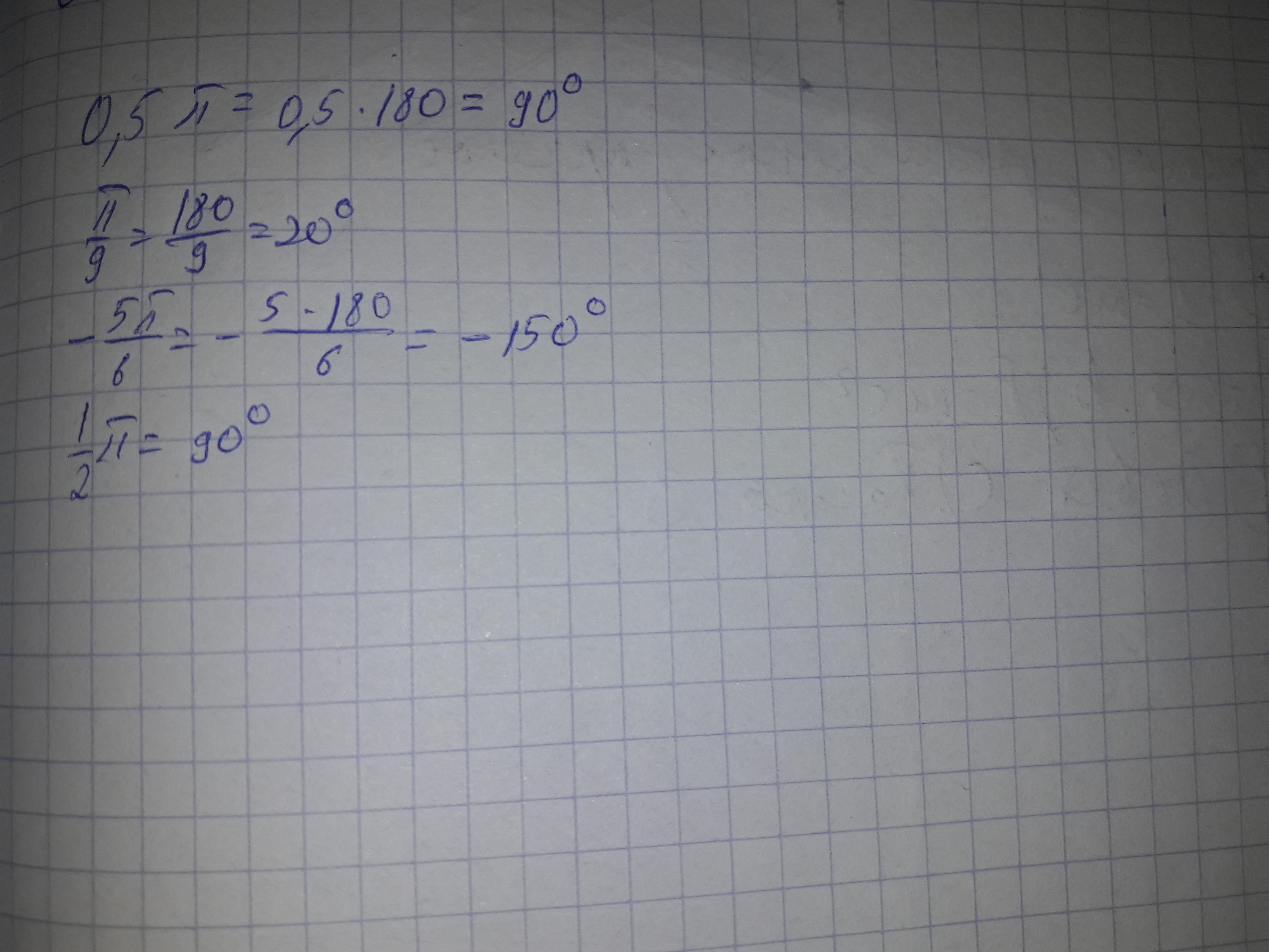
Ответ дал: 4585o7k5099
2

Ответ:

фото .....

Объяснение:

Приложения:

Аноним: Добрый день, не могли бы мне помочь с алгеброй пожалуйста мой телеграмм @runjinqw
Вас заинтересует