Помогите пожалуйста
Заповніть пропуски так, щоб отримана рівність була тотожністю:
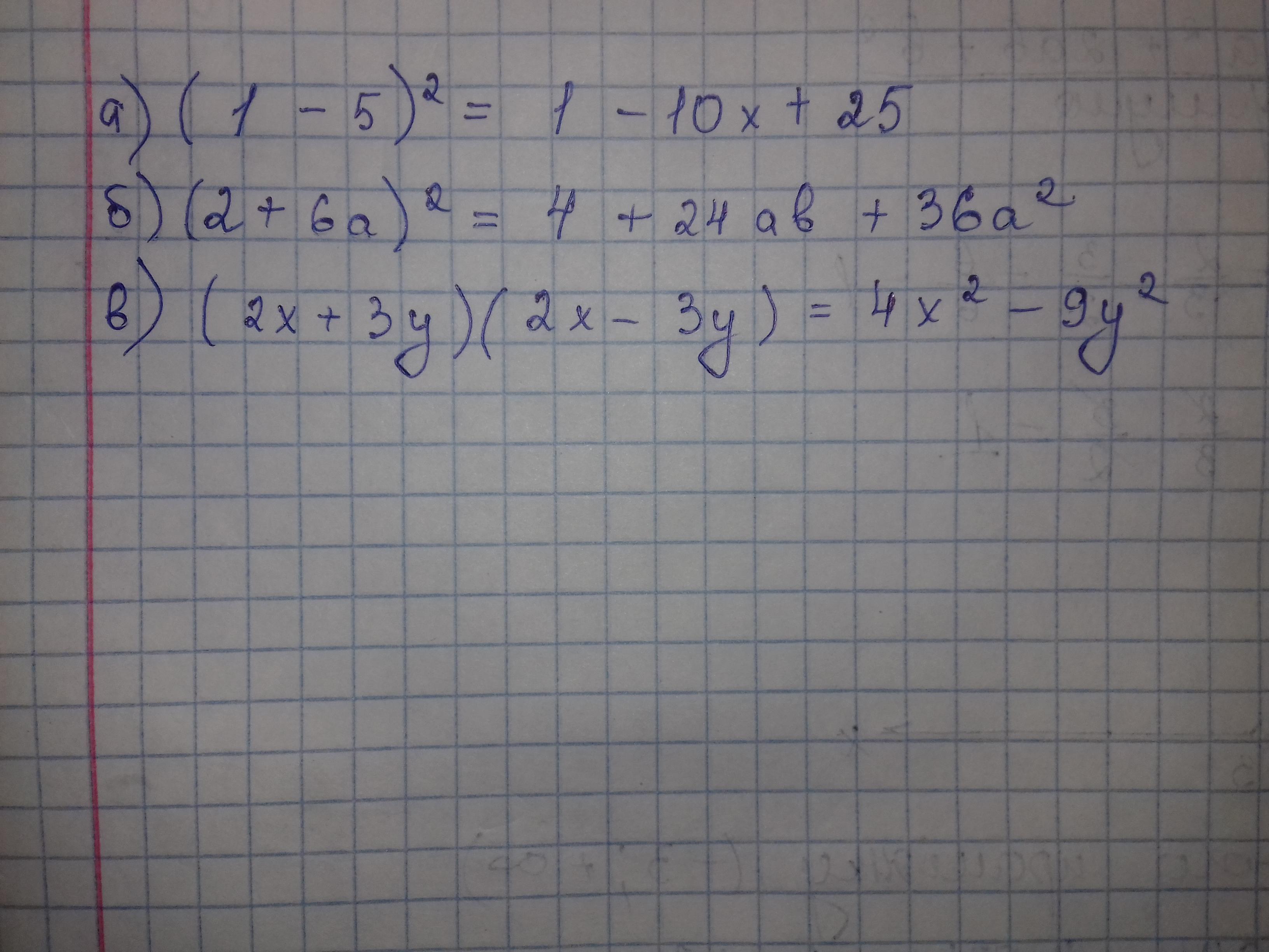
а) ( ___ - 5 ) ² = ___ - 10х + ___ ; б) ( ___ + 6а) ² = ___ + 24аb + ___ ; в) ( 2х + 3у) ( ___- ___) = 4х ² - 9у²
Ответы
Ответ дал:
2
Ответ:
Смотрите фото ниже.
Объяснение:
Приложения:

angelikamotika:
спасибо!!!
Вас заинтересует
2 года назад
2 года назад
2 года назад
2 года назад
8 лет назад
8 лет назад
9 лет назад
9 лет назад