алгебра срочно, молю
Приложения:

konsntantidi:
сори, мне бежать надо, я не успею , желаю хорошо написать, я в тебя верю
Ответы
Ответ дал:
1
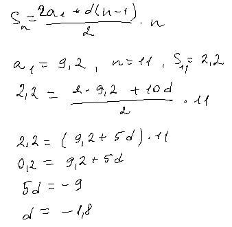
Ответ:
d=-1,8
Пошаговое объяснение:
Приложения:

Вас заинтересует
2 года назад
2 года назад
2 года назад
2 года назад
8 лет назад
8 лет назад
9 лет назад