Ответы
Ответ дал:
0
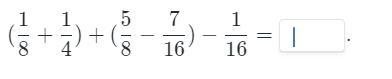
Ответ:
1/2
Пошаговое объяснение:
3/8+3/16-1/16=6/16=3/16-1/16=8/16=1/2
Ответ дал:
0
Ответ:
наверно так, обещать не буду
Приложения:

Вас заинтересует
2 года назад
2 года назад
2 года назад
2 года назад
8 лет назад
8 лет назад