• Предмет: Алгебра
  • Автор: ulianachetverous
  • Вопрос задан 7 лет назад

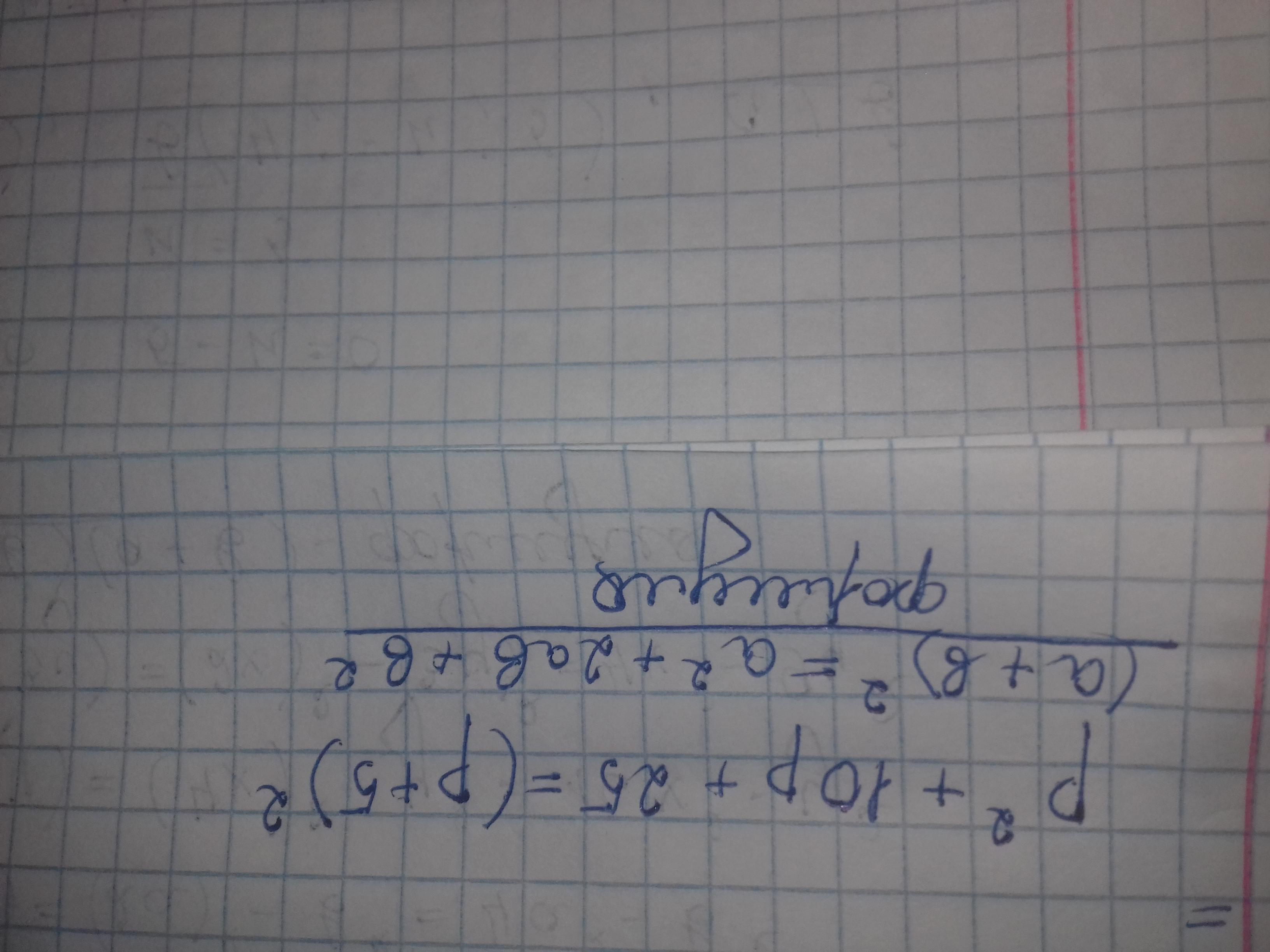
Розкладіть многочлен на множники: р² + 10р + 25=​

Ответы

Ответ дал: applecipolino25
1

Ответ:

Смотри фото ниже.

Объяснение:

Приложения:
Ответ дал: OblivionFire
2

свернём данный трехчлен по формуле квадрата суммы а²+2ав+в²=(а+в)². получим.

р²+10р+25=(р+5)² -- это ответ.

Вас заинтересует