Ответы
Ответ дал:
1
Ответ:
корону дай пж
Объяснение:
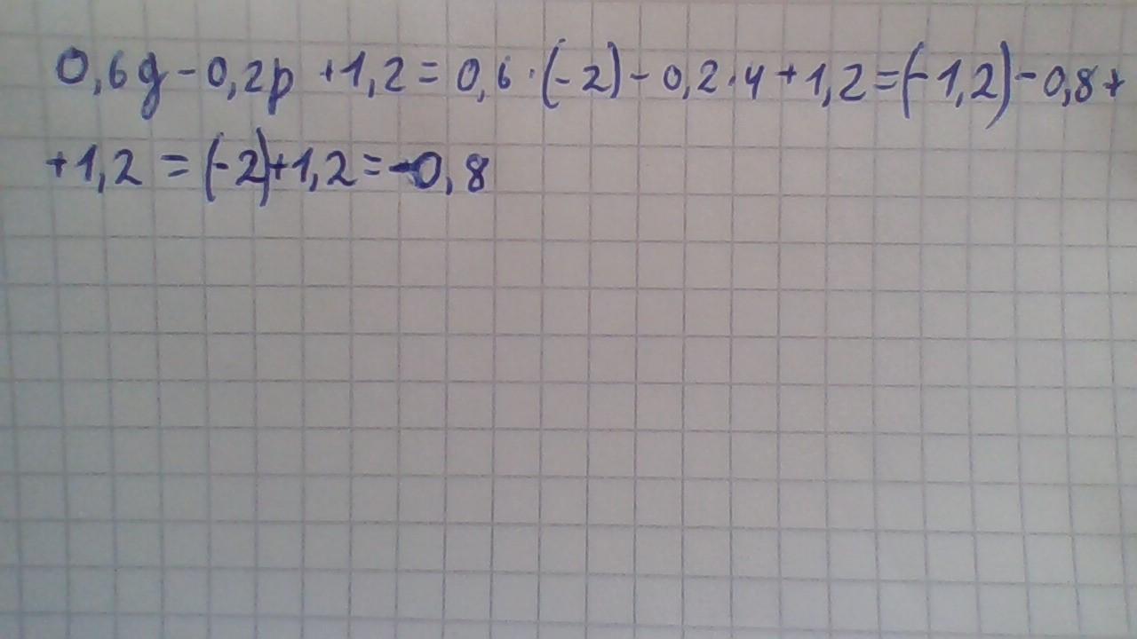
0,6g−0,2p+1,2=0,6*(-2)-0,2*4+1,2=-1,2-0,8+1,2=-2+1,2=-0,8
Ответ дал:
1
Ответ:
-0.8 .
Объяснение:
в приклеплённом файле.
Приложения:

Вас заинтересует
2 года назад
2 года назад
2 года назад
8 лет назад
8 лет назад
9 лет назад