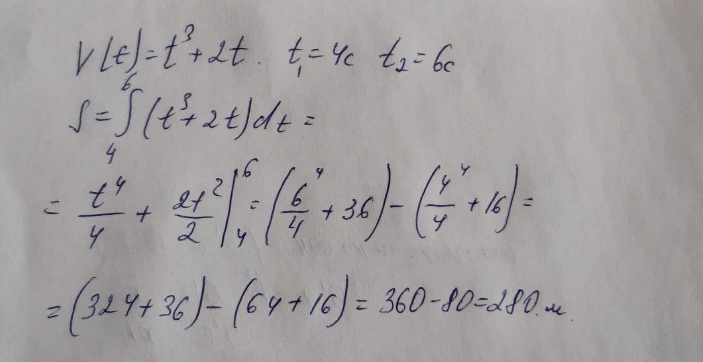
Тело движется прямолинейно со скоростью v(t)=t^3+2t (м/с). Найдите путь, пройденный телом за промежуток времени от t = 4 с до t = 6 с.
(Через интеграл).
Ответы
Ответ дал:
1
Объяснение:
см фото,,,,,,,,,,,,,,,,,,
Приложения:

AlisaMesha:
О боги, огромное спасибо--.
Вас заинтересует
2 года назад
2 года назад
8 лет назад
8 лет назад
9 лет назад