• Предмет: Алгебра
  • Автор: anutashmonina77
  • Вопрос задан 7 лет назад

Розв'яжіть систему рівняня

Приложения:

Ответы

Ответ дал: downshiftermad41
1

Ответ:

Объяснение:

y=x^2-14

y-x=-2

x^2-14-x= -2

x^2-x-12=0

D=b^2-4ac=49

x1= -3; y=(-3)^2-14= -5;

x2= 4; y=4^2-14= 2;

Ответ дал: tasha82v26
1

Объяснение:

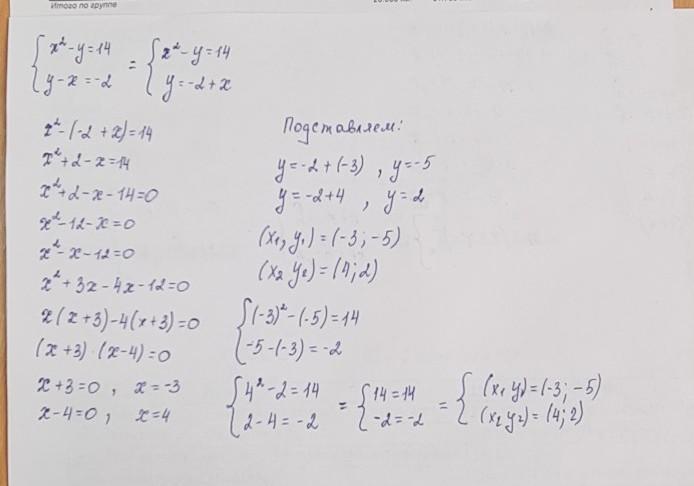
надеюсь поймешь порядок в моем хаосе)

Приложения:
Вас заинтересует