• Предмет: Алгебра
  • Автор: bravl46
  • Вопрос задан 7 лет назад

помогите пожалуйста очень срочно ​

Приложения:

Ответы

Ответ дал: dashulka22222
0

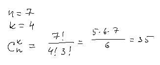
Ответ:

35 вариантов

Объяснение:

Приложения:
Вас заинтересует