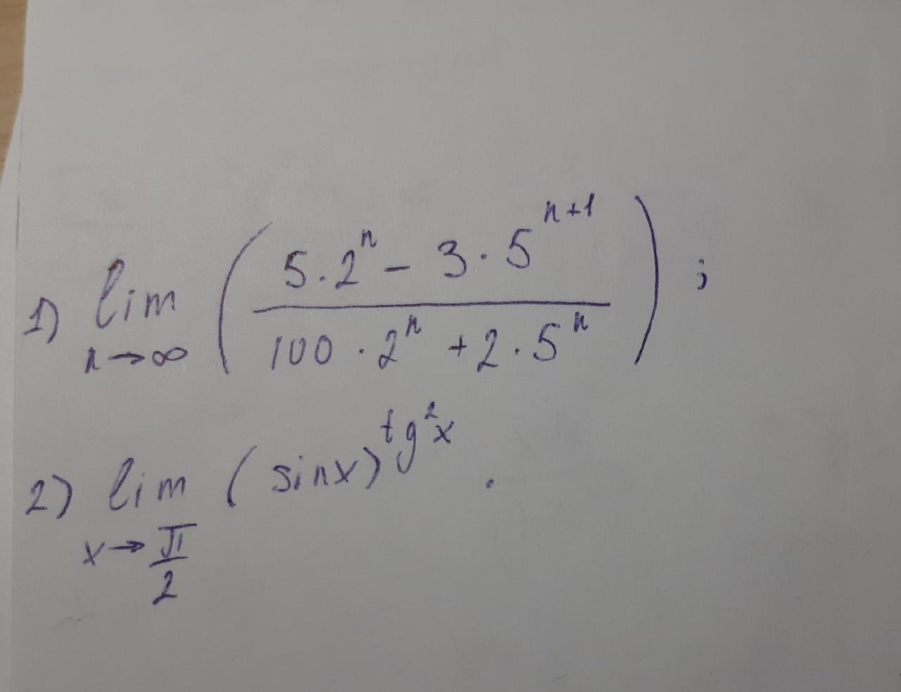
Решите пределы (с подробным решением):
Приложения:

azimamadalieva:
Чел это 1-4 класс
Ответы
Ответ дал:
0
Ответ:
5*2=10
3×5=15
15-10=5
Пошаговое объяснение:
надеюсь помог
Вас заинтересует
2 года назад
2 года назад
2 года назад
2 года назад
8 лет назад
8 лет назад
9 лет назад