• Предмет: Геометрия
  • Автор: tima4w
  • Вопрос задан 7 лет назад

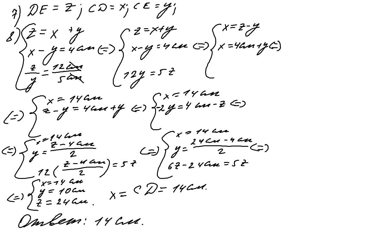
основи ad i bc трапеції дорівнюють 12 см і 5 см. Продовженням бічних сторін ab і cd трапеції перетинаються у точці e. Відомо, що cd - ce = 4 см. Знайдіть сторону cd

Ответы

Ответ дал: viiiktoria83
0

Ответ:

У треугольников AFD и BFC  общий и  как соответственные, следовательно, ΔAFD ~ ΔBFC по двум углам. Из подобия треугольников следует, что

Объяснение:

Ответ дал: ivanivanov200200200
0

Ответ: Решение и ответ приведены в файлах, прикреплённых к ответу.

Объяснение:

Приложения:
Вас заинтересует