Ответы
Ответ дал:
0
решениеееееееееееееееееееееееее
Приложения:

Ответ дал:
0
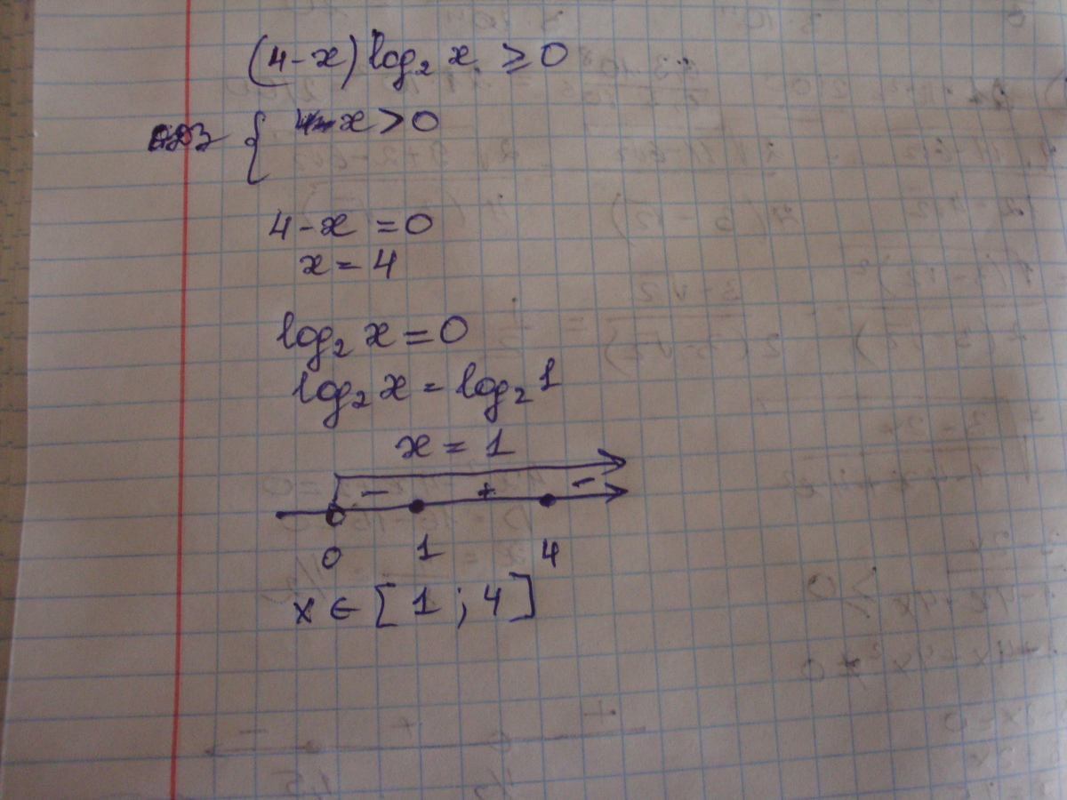
(4-x)log2(x)>=0
ОДЗ x>0
точки перехода через 0 - 4 и 1 (log2x=0)
=====0======1=======4=========
--------------------++++++++-----------
x=[1 4]
ОДЗ x>0
точки перехода через 0 - 4 и 1 (log2x=0)
=====0======1=======4=========
--------------------++++++++-----------
x=[1 4]
Приложения:

Вас заинтересует
2 года назад
8 лет назад
10 лет назад
10 лет назад
10 лет назад