• Предмет: Физика
  • Автор: fozilio99
  • Вопрос задан 7 лет назад

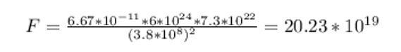
найдите силу притяжения между землёй и луной ?

нужно полное решение задачи...!!!!!!​

Ответы

Ответ дал: xabebek641
2

Вот, прошу, удачи с физикой в будущем!

Приложения:

fozilio99: хорошо
Вас заинтересует