• Предмет: Математика
  • Автор: dsv1205
  • Вопрос задан 7 лет назад

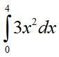
пожалуйста помогите вычислить

Приложения:

Ответы

Ответ дал: dashulka22222
1

Ответ:

64

Пошаговое объяснение:

 \int\limits^4_0 {3x^{2} } \, dx =x^{3} =(4^{3} )-(0^{3} )=64

Вас заинтересует