Ответы
Ответ дал:
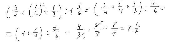
1
Ответ:
Пошаговое объяснение:
Приложения:

lollm:
Спасибо!!!!!
Вас заинтересует
2 года назад
2 года назад
2 года назад
8 лет назад
8 лет назад
9 лет назад
9 лет назад