ДАМ 80 БАЛЛОВ ЗА ПОДРОБНОЕ РЕШЕНИЕ С ОБЪЯСНЕНИЕМ.
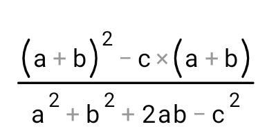
Сократите дробь
Приложения:

SevaCatic:
Если не видно нажмите на лупу
Ответы
Ответ дал:
2
Ответ:
___________
Сегодня это мой лучший ответ на этот вопрос.
Вас заинтересует
2 года назад
2 года назад
2 года назад
8 лет назад
9 лет назад