• Предмет: Математика
  • Автор: rbbccdan
  • Вопрос задан 7 лет назад

Мне только 634 помогите пожалуйста​

Приложения:

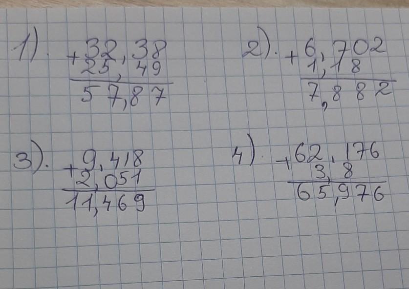
Аноним: 1) ответ: 57,87

2) 7,882

3)11,469

4)65,976

Ответы

Ответ дал: anastasiyasche182007
1

Пошаговое объяснение:

1) ответ: 57,87

2) 7,882

3)11,469

4)65,976

Приложения:

rbbccdan: Спасибо
Ответ дал: niazovakausaria787
1

Ответ:

первое 57,87.

второе 7,882

третий 11,431

четвертый 65,975


rbbccdan: Спасибо
Вас заинтересует