Ответы
Ответ дал:
0
ответ на прикрепила на фото
Приложения:

Ответ дал:
1
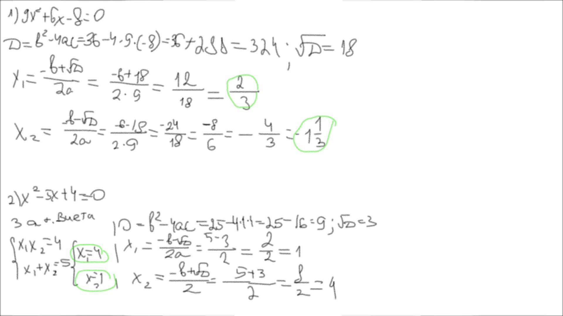
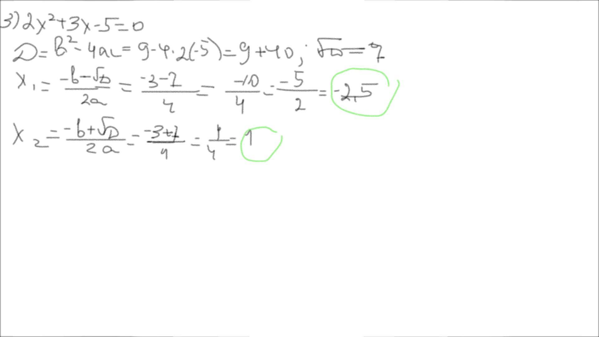
Ответ:
Объяснение: 1) 2/3; -1*1/3
2)1; 4
3)-2.5; 1
Приложения:


Вас заинтересует
2 года назад
8 лет назад
8 лет назад
9 лет назад