Помогите пожалуйста, 20 баллов
Приложения:

yevheniiavz:
после второй скобки, то знак умножить?
Ответы
Ответ дал:
1
смотрите фото...............
Приложения:

Ответ дал:
1
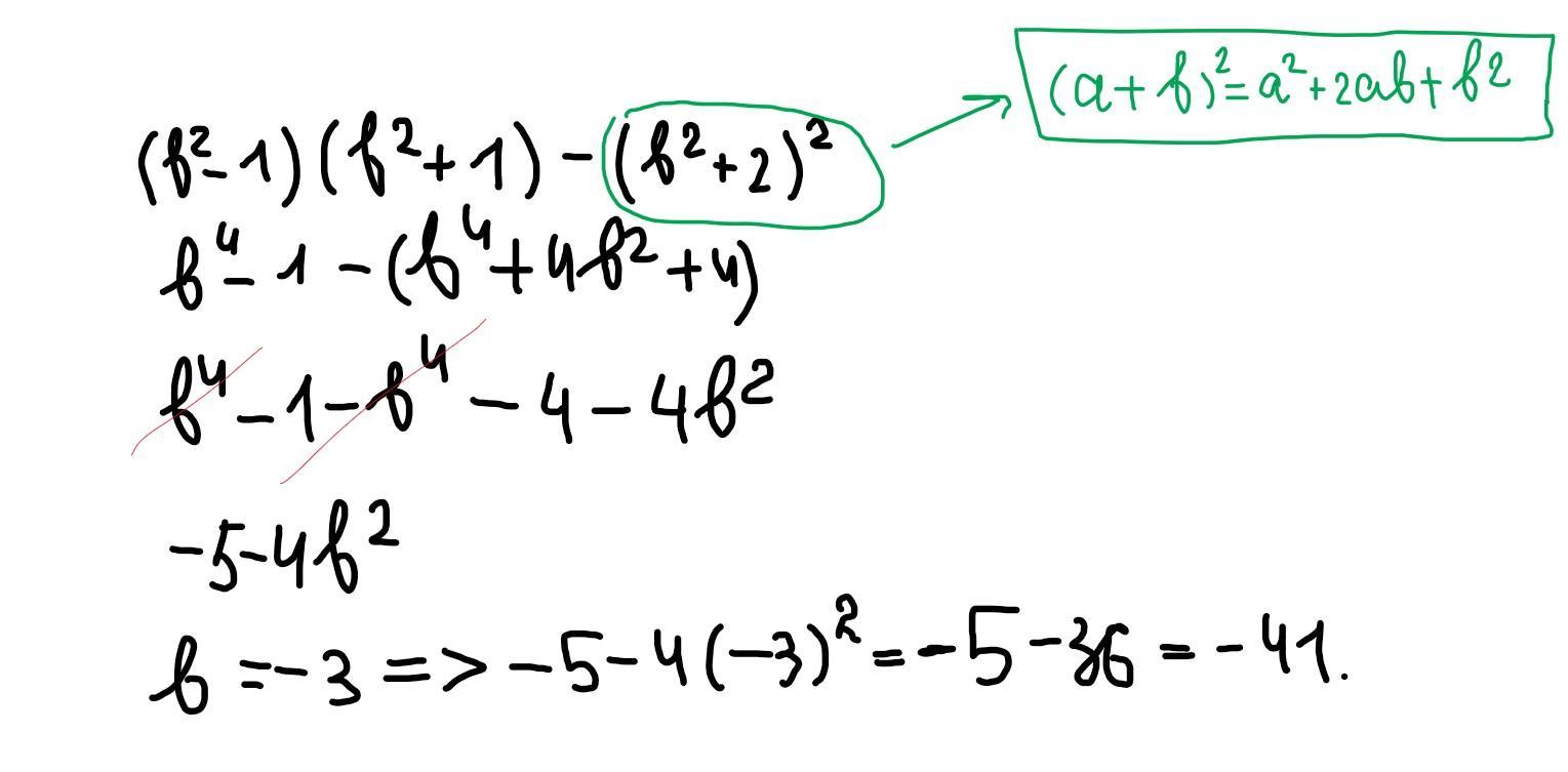
Ответ:
-41
Объяснение:
Сначала я упрощу это выражение:
(b² - 1) · (b² + 1) - (b² + 2)² = (b^4 + b²- b² - 1) - (b^4 + 4b² + 4) =
= b^4 + b² - b² - 1 - b^4 - 4b² - 4 = -4b² - 5
Теперь можно подставлять, b = -3:
-4 · (-3)² - 5 = -4 · 9 - 5 = -36 - 5 = -41
Надеюсь понятно объяснил
Вас заинтересует
2 года назад
2 года назад
8 лет назад
8 лет назад